新增21個大學本科專業,怎么選擇?
時間:2023-05-18
瀏覽: 3667
近日,教育部發布最新《普通高等學校本科專業目錄》,新增21種新專業,撤銷925個專業,引起社會熱議。本次備案、審批和調整的專業,將列入相關高校2023年本科招生計劃。
新增專業和被撤銷專業有哪些?
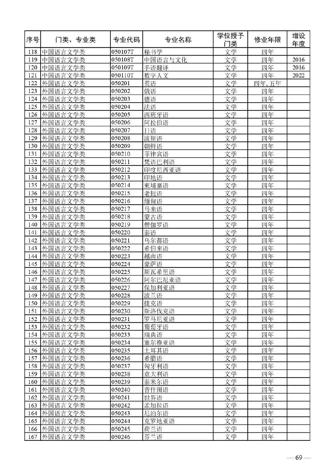
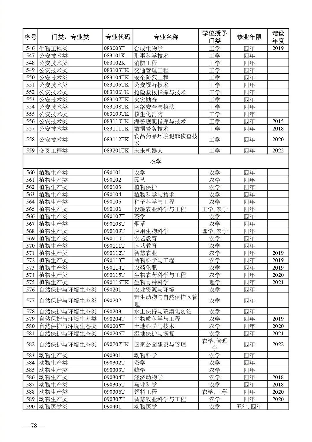
據了解,列入目錄的新專業共21種,包括金融審計、國際法、司法鑒定學、工會學、家庭教育、孤獨癥兒童教育、數字人文、資源化學、地球系統科學、數據科學、生物統計學、生物材料、電動載運工程、飛行器運維工程、安全生產監管、未來機器人、國家公園建設與管理、醫工學、鄉村治理、航空安防管理、無障礙管理。
可以看到,很多新專業都是高校結合自身特色及社會需求所設立的,比如南京特殊教育師范學院新設立的孤獨癥兒童教育、無障礙管理專業,中國勞動關系學院新設立的工會學,中國民航大學新設立的飛行器運維工程、航空安防管理專業,東南大學新設立的未來機器人專業,中華女子學院新設立的家庭教育專業,廣西警察學院新設立的司法鑒定學專業等等。
此次教育部還對部分高校申請撤銷的925個專業點予以備案。歡創小編在梳理撤銷的專業點發現,信息管理與信息系統、公共事業管理、市場營銷、產品設計、信息與計算科學等專業,申請撤銷的高校較多,均超過20所;廣告學、電子信息科學與技術、網絡工程、測控技術與儀器、生物技術、酒店管理等專業,申請撤銷的高校超過10所。此外撤銷專業還包括旅游管理、自然地理與資源環境、電子商務等。

部分高校申請撤銷的專業詞頻圖
截至目前,本科專業目錄共包含93個專業類、792種專業。


















這些新專業學什么?
在這次新增的專業中,孤獨癥兒童教育、無障礙管理專業引起很多網友關注當前我國孤獨癥學生的比例逐年上升,但孤獨癥教育的師資缺口大、人才專業化程度低,孤獨癥兒童教育基礎相對薄弱。此外,我國的無障礙設施也還不能完全滿足特殊人群的需求,無障礙環境建設水平參差不齊。
孤獨癥兒童教育專業面向孤獨癥專門學校、特殊教育學校、普通學校、特殊兒童康復機構等,培養適應當代孤獨癥教育事業發展需要,扎實掌握以孤獨癥為主的特殊兒童發展和教育理論,具備對孤獨癥及其他發展性障礙兒童開展課程教學及其他相關教育服務的基本技能,富有博愛精神的應用型人才。
無障礙管理專業則融合管理學、經濟學、社會學、建筑學、信息學等多學科理論,培養系統掌握無障礙管理基本理論、方法和技術,熟悉國內外無障礙政策法規、技術規范標準,具有國際視野、無障礙理念以及公共精神和博愛情懷,能在無障礙環境建設相關政府部門、企事業單位、社會組織從事無障礙業務管理和綜合管理工作的高素質、復合型、應用型專門管理人才。
此次新設立的工會學專業同樣引起很多關注,中國勞動關系學院官微介紹,工會學專業課程中,專業必修課程共26門,涵蓋《比較工會學》《工會組織與工會實務》《工會工作核心素養》《工會法》《中國工人運動史》等;專業選修課程共20門,最具學校特色的課程有:《工會學經典著作精讀》《勞模學》《工運領袖與中國工運》《職工文化學》《全球化與工會前沿問題》等。
在科技浪潮之下,東南大學新設立未來機器人專業。此次,教育部首次在工學門類下增設交叉工程專業類,未來機器人專業即是“交叉工程類”下的首個專業。
在此次新增專業中,設立學校最多的新專業為生物統計學,有中國藥科大學、廣東醫科大學等5所高校設立。生物統計學專業培養掌握統計學的基本思想、基本理論與研究方法、具有扎實的數學功底、計算機語言基礎,生物學和醫學領域知識背景,能夠勝任生物、醫療、制藥等相關領域機構統計基礎理論研究和應用的復合型人才。
新專業怎么選?專家這樣說
社會需求是學科專業設置的重要方向,近年來,隨著社會新需求的出現,不少高校都會對大學專業適時進行調整。一批適應新技術、新產業、新業態、新模式的專業被不斷設立,不適應經濟社會發展的專業則被淘汰。
今年4月初,教育部等五部門還印發《普通高等教育學科專業設置調整優化改革方案》,提出到2025年,優化調整高校20%左右學科專業布點。
中國教育科學研究院研究員儲朝暉表示,此次的專業調整應該也是依據方案要求作出的。客觀上來說,方案的提出要解決兩個問題,一個是招生問題,一個是就業問題,盡可能讓高校專業設計跟就業及產業需求一致。
“未來高校還要面臨一些新的趨勢,比如接下來幾年考生數量可能會減少,招錄比也會發生變化,此外生源的變化也會帶來考生學業成績的變化,進而影響高校專業的調整。”儲朝暉表示,根據方案,未來高校專業的調整力度應該還會加大。
如何看待新專業?21世紀教育研究院院長熊丙奇認為,學生選擇新專業,需要多一分理性少一些盲從。很多考生和家長特別關注專業的“冷”與“熱”,并片面地認為,開設學校多、招生規模大的專業就是“熱門”。
理性選擇“熱門”,需要考慮至少三方面因素。一是本人的個性、興趣。自己喜歡、感興趣的就屬于自己的“熱門”。二是真實的社會需求。真正的熱門專業是人才培養供給少于社會需求的專業,因此冷熱門很容易“翻轉”。三是高校的辦學特色。同一類專業在不同學校中,會因是否具有辦學特色而冷熱不同。
以上資訊來源教育部、人民日報、中國新聞網及各大高校的官微,由歡創小編整理發布,如涉版權請持權屬證明與我們聯系。
提示

確定